于都通源加油站有限公司二級加油站新建項目
發布時間:2020-07-18
|
安全評價單位名稱 |
于都通源加油站有限公司 |
||
|
項目名稱: |
二級加油站新建項目安全驗收評價報告 |
||
|
簡 介: |
|||
|
于都通源加油站有限公司是由于都縣永安公共交通運輸有限公司和于都縣振興投資開發有限公司共同組建,在于都縣323國道新建一座于都通源加油站,站內設2臺50m³的0#柴油臥式油罐、1臺50m³的92#汽油臥式油罐、1臺50m³的汽油臥式分倉罐(95#和98#各半)。油品總貯存能力為150m³(折算成汽油貯量計),屬新建二級加油站,油罐采用雙層承重罐池直埋方式,并設抗浮基礎,加油機采用四臺四槍加油機,共16槍。
建設項目名稱:于都通源加油站有限公司改造項目(二級加油站)。
建設單位:于都通源加油站有限公司
投資單位:于都縣永安公共交通運輸有限公司和于都縣振興投資開發有限公司
法人代表:肖金華
項目地址:于都縣貢江鎮老323國道消防中隊對面
儲存規模:設0#柴油儲罐2臺,每臺儲罐容積為50m3、92#汽油儲罐1臺,儲罐容積為50m3、95#汽油和98#汽油共用儲罐1臺,各半隔倉,儲罐為50m3??側萘?/span>200m3,折合汽油為150m3,按國家現行《汽車加油與加氣站設計與施工規范》對加油站的等級劃分計算,該站屬二級加油站。
加油能力:加油站設2排加油島,4臺多油品4槍加油機。
勞動就業:勞動定員8人(其中站長1人,副站長兼安全員1人,加油員6人)。
建設內容:項目占地面積近4000㎡,油罐區192㎡,設2臺50m³的0#柴油臥式SF油罐、1臺50m³的92#汽油臥式SF油罐、1臺50m³的汽油臥式SF分倉罐(95#和98#各半);加油區網架676㎡,設4臺四槍加油機;單層站房195.23㎡。 |
|||
|
安全評價項目組長: |
李永輝 |
||
|
技術負責人: |
夏長喜 |
||
|
過程控制負責人: |
檀廷斌 |
||
|
評價報告編制人: |
李永輝 |
||
|
報告審核人: |
林大建 |
||
|
參與評價工作的安全評價師: |
李永輝、陳 浩 |
||
|
注冊安全工程師: |
劉志強、李永輝 |
||
|
技術專家: |
劉志強,化工工藝工程師 |
||
|
到現場開展安全評價工作的人員名單: |
劉志強 |
||
|
時間和主要任務: |
完成時間:2020年7月18日;
主要任務:安全驗收評價報告; |
||
|
評價報告: |
|||
|
一、評價對象及范圍:
于都通源加油站有限公司二級加油站新建工程項目的主體裝置和輔助設施,包括經營過程中的危險和危害因素控制措施和工藝、設備設施的安全可靠性以及安全管理方面的組織、機構、人員、防護設施、作業環境及管理制度等安全經營條件的符合性評價。具體范圍如下:
1.層站房1棟及加油罩棚
二、項目基本情況:
該加油站規劃用地面積約為4000m2,用地呈四邊形,其位置與老323 道平行,但面向南面略呈偏東,其北面總長約63.8m,東面邊長約68m(包括了退讓線20m),西面長約70m(呈四段折線,包括退讓線),南面長約56m。該加油站的工藝設施及建筑物應布置用地面積范圍內。
根據規劃設計,該加油站處于都縣貢江鎮消防中隊老323國道對面,加油站的出入口設在323國道;加油站東面圍墻外為空地,有一棟三層民房,該民房距離加油站東北角圍墻20m,空地處為規劃公交總站預留地;西面圍墻外為農村民房,最近一棟距離加油機為25.4m,距離承重油罐28.7m,原有電力線已拆除;北面為圍墻外為山坡,該山坡為頁巖。站區50m范圍內無學校、醫院等重要公共建筑,不會受洪澇、泥石流等自然災害影響,是較理想的加油站建設場地。(具體參見附件——總平面布置圖)。
于都通源加油站有限公司新建二級加油站工程項目,站區內總平面布置按加油區、油罐區、經營辦公區、卸油作業區以及輔助設施布置。
【加油作業區】設在站區中南部布置,根據規劃設計,該站設4槍雙油品稅控燃油加油機4臺,分雙排布置在加油島上;加油機上方設鋼混柱砼頂結構的罩棚,罩棚面積26m×26m=676m2。加油機距南側323國道路肩23.6m,距站房7.0m。
【埋地儲罐區】設置在加油站中部加油區下方,為采用承重罐池,防滲處理,儲罐區面積16.1m×11.9m=192m2,油罐距323國道路肩25m。4臺油品儲罐東西橫向并排設置在罐池內,從南往北依次為50m30#柴油罐2臺,50m392#汽油罐1臺, 50m395#和98#汽油共用儲罐1臺;儲罐埋地敷設,罐頂覆沙土厚度不小于0.5m,至行車道站區地面為0.9m。
【營業辦公區】單層站房一棟,營業辦公區設在站房內,站房設置在加油作業區中部。站房占地面積26m×7.2m=187.2m2,建筑面積187.2m2。建筑物內設營業廳、辦公室、財務室和發配電室。發配電室設在站房東北角,配電室距離323國道約56m,距離最近的加油機10.2m。
【輔助設施】設有洗車棚和自動洗車機,該洗車棚位于加油站東側,距離最近的加油機約15m,距離站房10m。
【卸油作業區】設在油品儲罐區的西面。設有密封卸油口、消防沙池和消防器材箱以及回車場地。其卸油區域設在加油站西面界址中間,設有2m3消防沙池和消防器材間。卸油管口距離圍墻外最近的民房12m。距最近的加油機12m、323國道路肩32m。消防沙池和消防器材箱設置在密封卸油口兩側,密封卸油口與加油作業區之間設回車場地,可供油罐車卸油時???。
卸油工藝:油罐車行駛至加油站內密封卸油口停車處,利用油罐車與地下儲油罐的高位差,采用密閉式卸油。采用油氣回收系統,在油罐車卸油過程中,將原來儲油罐內散溢的油氣,通過油氣回收地下工藝管線及卸車軟管重新收集至油罐車內,實現卸油與油氣等體積置換。其工藝流程如下圖:
卸油油氣
卸油工藝流程圖
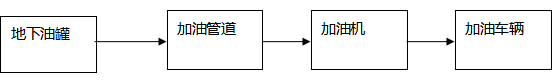
加油工藝:加油作業時,采用潛油泵提供的動力,油品通過加油管道至加油機,進入受油容器。同時,加汽油作業時,有油氣回收回收系統,汽油蒸汽通過油氣回收管道回至汽油罐。具體流程見下圖:
柴油加油工藝流程圖
汽油加油工藝流程圖
三、評價結論
1、于都通源加油站有限公司新建二級加油站工程項目,由具有相應資質的單位設計和施工,項目的前期手續齊全;申請危險化學品經營單位的前置條件,符合相關的法律、法規和標準規范的要求。
2、危險有害因素辨識結果
①該新建加油站項目,在竣工后的經營過程中所涉及的成品油的儲存量,未構成GB18218-2018規范中規定的?;?/span>重大危險源;汽油和柴油均具有易燃易爆等危險、危害特性;其中汽油機為安監總管三〔2011〕95號文件公布的首批重點監管的危險化學品。
②該加油站在經營過程中存在的主要危險有:火災爆炸、觸電、車輛傷害、高處墜落、坍塌等,存在的主要危害因素有:中毒與窒息、噪聲、高溫執輻射等,同時存在人為失誤和管理缺陷。
3、該加油站固有危險程度,儲罐區經危險度評價為汽油中度危險,柴油罐為低度危險。由于采用埋地油罐、密封操作、加油油氣回收等措施,危險有害程度能控制在可接受的范圍。
4、該站的選址、自然條件、總體布局,能滿足安全經營條件。加油站將經營區域分為加油作業、卸油作業區和辦公營業區、輔助服務區四個分區,功能明確、合理。符合《建筑設計防火規范》、《工業企業衛生標準》、《汽車加油加氣站設計與施工規范》的要求。
5、《安全條件評價檢查表》評價表明,該站基本設施安全條件評價結果基本符合規范要求;《加油站作業安全規范檢查表》評價,除無應急救援預案演練記錄不符合項外,總體上符合AQ3010-2007標準要求;《安全措施和應急處置原則檢查表》檢查,該站總體上符合零售經營成品油的安全經營條件。
6、加油站的主要危險有害因素是火災爆炸,應予以重點防范。
綜合所述:依據《安全生產法》、《危險化學品管理條例》、《危險化學品經營許可證管理辦法》等法律、法規及其它相關文件、標準檢查,于都通源加油站有限公司新建二級加油站工程項目,對評價人員提出的整改項目進行了整改落實,且全部到位,因此該加油站的新建工程安全設施符合建設工程竣工驗收的安全條件。
|
|||
|
提交時間: |
2020年7月18日 |
||
|
現場影像資料 |
|||





